ABSTRACT
A smart watch is one of the most popular wearable devices now. Along with battery life and security, thermal safety is the most common concern. We show how to meet the ergonomic standards for users and predict thermal performance in typical scenarios. Thermal simulation software applied at the design stage can provide guidance on the use of heat spreading materials and other thermal solutions to meet the design requirements.
INTRODUCTION
According to the International Data Corporation (IDC) Worldwide Quarterly Wearable Device Tracker [1], by 2019, worldwide shipments of wearables will reach 173.4 million units, resulting in a five-year compound annual growth rate (CAGR) of 22.9%.
Since the smart watch market is relatively young, many concepts of how to integrate electronics are still very new and in the prototyping phase. However, designs are moving in the same direction as mobile phones: engineers must balance performance and high power consumption within very limited space. Customers wear smart watches much longer than they hold smart phones. With greater direct contact with the skin for longer times, thermal comfort is a very important factor in determining the quality of the user experience.
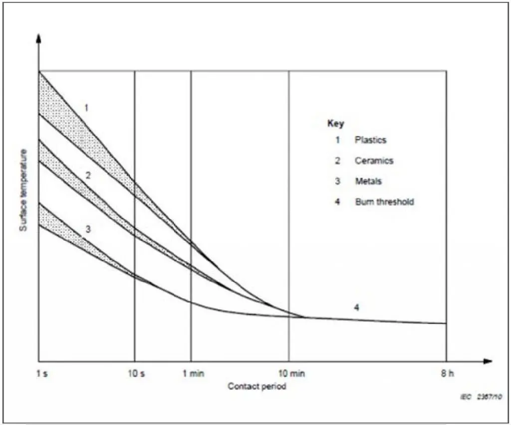
LOW TEMPERATURE BURN AND THERMAL STANDARD
We know that high temperature burns can be very painful and destructive. While burns occurring at low temperature seem to initially be mild and not too painful, they can also cause damage while the victims are less aware that the burn has occurred [2].
In this paper, we suggest values on the lower end of the burn threshold spreads shown in Figure 1 from the IEC guide 117 for temperature limits of smart watch-based burn risk during operation.
THERMAL MODEL AND TYPICAL SCENARIOS
The smart watch’s thermal performance can be simulated with thermal analysis software. The 3D CAD model can be imported to the thermal simulation tool in which boundary conditions can be applied and detailed thermal profile will be obtained.
Material properties of all the components in the model need to be assigned. It is popular to place heat spreaders between high power density chips and the enclosures to reduce the hot spot. Graphite has an anisotropic crystal structure that results in different properties in different directions. This anisotropy can be used advantageously to both spread the heat and to eliminate a hot spot by shielding a surface adjacent to the heat source, as mentioned before. In many cases, metal films made of copper or aluminum can serve as heat spreader in the device.
Scenario 1 is the low power consumption application and the Scenario 2 is the extremely high power consumption application. When the smart watch must process specific functions, the different working cycle and duty cycle value will determine the power consumption, battery usage and thermal profile.
TEST RESULTS
The two power level scenarios were studied on a watch prototype. In Scenario 1, the watch case temperature was less than 3°C higher than room temperature, as shown in Figure 2. For the same working period, the longer the duty cycle, the lower the watch case temperature.
Typical scenarios are closely related to particular design function of a smart watch. Table 1 lists typical product function scenarios.

It is not surprising that the temperature rises in the higher power Scenario 2 were larger than in the low power cases. Figure 3 shows that the maximum case temperature was about 5°C above the ambient air temperature. Figure 2 and Figure 3 both show that the resulting temperature is a function of working period and duty cycle.

The simulation show relatively good agreement with experiment results, the error is below 7% [5].
CONCLUSION
In summary, working period and duty cycle play significant roles in the temperature rise of smart watches. This in turn is a key factor to adjust the power consumption. Thermal solutions, including heat spreading material as graphite and copper film can be applied to reduce the hotspots [5, 6]. Miniature heat pipes [7, 8], are also one ofthe options for hot spot mitigation. Phase change materials show potential to improving user experience in high power scenarios [9], which can regulate temperature during sprinting [10].
Ergonomic considerations and the device performance need to be well balanced to achieve the best user experience. In smart watch design, maximum inner case temperature is a primary design goal, and perceived performance is more critical than actual performance.
ACKNOWLEDGMENT
The authors would like to thank the group members of wearable device to support the marketing investigation, experimental setup and customer survey. Special thanks to Mr. Song Wen and Dr. Jinlinfang, Mr. Kangnanbo and Mr. Kuang Minqiang for their technical comments and related research works.
REFERENCES
- International Data Corporation (IDC) Worldwide Quarterly Wearable Device Tracker, 2015
- Matthew Seung Suk Choi, Ho Joon Lee, and Jang Hyun Lee, Early Intervention for Low-Temperature Burns: Comparison between Early and Late Hospital Visit Patients, Arch Plast Surg. 2015 Mar; 42(2): 173–178.
- IEC Guide 117, Electrotechnical equipment– Temperatures of touchable hot surfaces, Appendix A, 2010.
- Y Hang and H. Kabbani, “Thermal Management in Mobile Devices: Challenges and Solutions” Proc. of Semitherm 31, March 16-20, pp46-49, San Jose, CA USA, 2015.
- A. Han, “Thermal management and safety regulation of smart watches”, Thermal and Thermomechanical Phenomena in Electronic Systems (ITherm), 2016 15th IEEE Intersociety Conference on, Las Vegas, NV USA 2016
- Smalc, M, G. Shives, G. Chen, S. Guggari, J. Norley, R. A.Raynolds III, “Thermal Performance of Natural Graphite Heat Spreaders”, Proc. of IPACK2005, ASME InterPACK ’05, July 17-22, San Fancisco, CA USA, 2005.
- Nguyen, T., M. Mochizuki, K. Mashiko, Y. Saito, I. Sauciuc, and R. Boggs, “Advanced Cooling System Using Miniature Heat Pipes in Mobile PC”, IEEE Trans. Component and Packaging Tech., Vol.23, No.1, pp.86-90, 2000.
- T. Shioga and Y. Mizuno “Micro Loop Heat Pipe for Mobile Electronics Applications” Proc. of Semitherm 31, March 1620, pp50-56,San Jose, CA USA, 2015.
- Tan, F. L. and C. P. Tso, “Cooling of mobile electronic devices using phase change materials”, Applied Thermal Eng., Vol.24, No.2-3, pp.159-169, 2004.
- L. Shao, A.Raghavan, L. Emurian, M. Papaefthymiou, T. Wenisch, M. Martin, and K. Pipe, 2014, “On-chip Phase Change Heat Sinks Designed for Computational Sprinting”, 30th IEEE SEMI-THERM Symposium, San Jose, CA USA 2014









