Simulation of temperature fields in electronics is a frequent task for thermal design engineers. Depending on the need and available time, the simulation used to predict temperatures may range from hand calculations to full physics-based numerical simulations. Accurate thermal simulations are always desired but in most instances, even assessing the accuracy level within a narrow bound is difficult. Uncertainties are present in the boundary conditions, how well the model represents the actual system, and in material properties [1]. In the last issue we learned of the difficulty in making accurate measurements of thermal conductivity [2] so the usual process is to select the best available property information and continue on. Recognizing that uncertainty is present, there are times when it is beneficial to select a material property or boundary condition and then stay consistent. If we were timing a race with a watch but found out that the watch time was off by a small amount, it wouldn’t make sense to adjust the watch time in the middle of the race.
Knowing how the temperature predictions will be used by others is beneficial and sometimes neglected. Typical uses are design evolution, specification compliance, safety considerations, reliability estimates, and performance predictions. Of course, all of the interested parties want an accurate answer but rarely listen to uncertainty estimates if they are provided — they often just focus on one temperature value. Understanding what the interested parties intend to do with the information can justify providing consistently based predictions.

In a design environment, consistency in thermal simulations benefits design optimization. While gross errors in a model need to be corrected and reported, small changes in material properties like thermal conductivity can make it harder to assess the results in trade-off studies. For example, in a conduction problem a particular material might have a conductivity know within about 10 to 15 percent. Generating results for one trade with a thermal conductivity at the low end and the next trade with the conductivity at the high end will most likely lead to some confusion as to which design option has the better thermal performance.
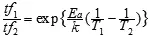
Another instance where consistency is very important is in analog RF devices. In these devices, large temperature gradients exist within the device [3]. Figure 1 is taken from Reference 3 and illustrates the peak temperature near the gate of an FET. Thermal models of FETs consider sub-micron geometric features and metallization details around where the heat is generated. Precisely defining where the heat is generated is difficult because a bias voltage applied to the gate creates a depletion region which locally changes the resistivity of the semiconductor. Different bias conditions for the FET result in different depletion regions and, subsequently, slightly different distributions of heat generation. This is an example for which a strong argument for consistency can be made. One of the primary reasons for predicting junction temperatures at this refined level is to facilitate reliability predictions. Typically, these devices degrade over time and a predominant reason for the degradation is metal diffusion at the gate region. For degradation mechanisms that are diffusion dominated, a useful relationship to relating degradation to temperature is the Arrhenius equation shown below. Ea is the activation energy, k is the Boltzmann constant, T1 and T2 are two different absolute temperatures and tf1 and tf2 represent the degradation rate at the temperatures T1 and T2 respectively.
Since the temperature near the gate, or junction temperature, is extremely difficult to measure, thermal models are used in both an accelerated life test condition (at a relatively high temperature where the time scale for experiments is reasonable) and in the actual application (at a lower temperature). To effectively use the relationship, the heat source region needs to be defined consistently in both models. Since the temperature gradients are large near the gate, small changes in heat generation volume or heat generation distribution can lead to significant changes in the predicted temperature. A consistent definition of the heat generation distribution is necessary to effectively relate temperature predictions made for a design to the accelerated life test data and subsequent Arrhenius relationship. This need has become even more pronounced as higher power density semiconductors such as Gallium Nitride (GaN) are introduced because the local temperature gradients are larger.
In summary, there are important reasons to consider consistency along with the desire for accuracy. In comparing thermal analyses from different sources, sometimes the documentation isn’t sufficient to really understand if consistent assumptions were made and this can lead to concerns that seemingly better thermal data is simply being reported for marketing purposes.
REFERENCES
Lasance, C. “CFD Simulations in Electronic Systems: A Lot of Pitfalls and a Few Remedies.” ElectronicsCooling May 2005.
Lasance, C. “Published Thermal Conductivities Values: Facts or Fairytales?” ElectronicsCooling Spring 2011.
Wilson, J. “Thermal Issues in GaAs Analog RF Devices”,
ElectronicsCooling February 2002.





