Abstract
Extreme conditions in interplanetary environments, like lunar night at -173°C and Martian dust storms, require new thermal control systems that go beyond traditional electronics cooling approaches. Martian dust consists primarily of iron-oxide and silicate particles with diameters ranging from 1 to 3 μm. These particles are electrostatically adhesive, capable of embedding into coatings, degrading surface optical properties, and reducing radiator performance by 20–40% during storms. This review proposes quantitative frameworks for managing temperature swings greater than 300°C in vacuum environments where convection is absent. New developments include variable emittance radiators (ε = 0.1-0.9), carbon nanotube-enhanced phase change materials with 50 W/ mK thermal conductivity, and loop heat pipes with 10,000 W/ mK thermal conductivity. Mathematical models for junction temperature management, Arrhenius-based battery degradation, and multi-nodal thermal networks are useful design tools for harsh environments. Electrodynamic dust mitigation and thermal interface materials with 0.05 cm²·K/W resistance after 5000 cycles provide solutions for extreme environments. These space-proven technologies provide immediate benefits for terrestrial applications, including 20-40% efficiency gains in data center cooling, improved electric vehicle battery management, and quantum computing cryogenics. The merging of spacecraft and terrestrial thermal technology creates a novel paradigm for electronic thermal control.
Introduction
The thermal management of electronic systems in spacecraft operating in severe extraterrestrial settings poses unique engineering problems that test the limits of standard thermal control technology. The lunar night cryogenic temperatures of -173°C and the Martian atmosphere dust particles with thermal conductivities as low as 0.01 W/mK test the resilience of electronic components and thermal management systems [1]. Efforts to address these extreme environments can provide valuable insight into advanced thermal control methodologies with direct applications in terrestrial electronic cooling systems, particularly for electronics, military applications, and emerging technologies that must operate over wide temperature ranges [2].
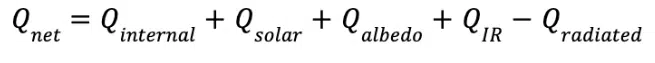
The primary problem in spacecraft thermal control is in maintaining electronic components within their allowable operating temperature ranges while dealing with intense thermal cycling, restricted power supply, and the lack of convective heat transfer in vacuum settings. Unlike terrestrial applications, where engineers may rely on forced convection and readily available heat sinks, spacecraft thermal engineers must devise novel systems that operate reliably in situations where typical cooling methods fail [3]. The controlling heat transfer equation for spacecraft thermal control simplifies to:

Characterizing the Extreme Environments
The lunar surface has one of the harshest thermal conditions in the solar system, with temperature variations of almost 300°C between lunar day and night [1]. During the 14-day lunar night, the lack of atmospheric insulation causes surface temperatures to drop to around -173°C, while daytime temperatures can reach 127°C (see Figure 2). This intense thermal cycling occurs gradually over the lunar day-night cycle, but since there is no atmosphere, shadows create instantaneous temperature gradients that can surpass 200°C over distances of a few millimeters. The surface temperature can be modeled as:
The solar absorptance (α), solar constant (S = 1367 W/m²), solar incidence angle (θ), infrared emittance ϵIR, Tsubsurface (stable regolith temperature) and Stefan-Boltzmann constant (5.67 × 10-8 W/ m²·K⁴) are all used in this equation. For electrical systems, this means that components must not only withstand these temperature extremes, but also control thermal stresses caused by material differential expansion and contraction.

The Martian environment poses a unique but equally challenging set of thermal management issues. While Mars possesses an atmosphere, its thinness (about 1% of Earth’s atmospheric pressure) limits convective heat transmission capabilities [4]. The modified Nusselt number can be used to characterize Mars’ atmospheric heat transfer:
where P and Po represent Martian and Earth atmospheric pressures, respectively.
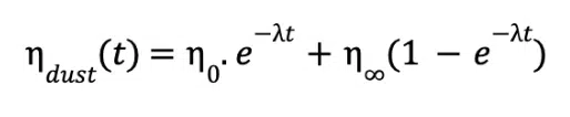
Mars’ ubiquitous dust complicates thermal control systems. Martian dust particles, which are predominantly made of iron oxide and silicate minerals, have extremely low thermal conductivity and tend to collect on radiator surfaces, solar panels, and thermal control surfaces [4]. During global dust storms, which can last months, dust loading on thermal surfaces can lower radiative heat transfer efficiency by up to 40%, according to an exponential degradation model.
where η₀ denotes initial efficiency, η∞ denotes the steady-state efficiency with dust accumulation, and λ is the dust accumulation rate constant. Based on NASA Glenn thermal-vacuum dust experiments, the typical values for η₀, η , and λ fall within these ranges (see Table 1) [5]:
| Empirical Constant | Range | Recommended Value |
|---|---|---|
| η0 | 0.90 – 0.98 | 0.95 |
| η∞ | 0.40 – 0.65 | 0.55 |
| λ | 0.005 – 0.02 per sol | 0.015 per sol |
Table 1: Ranges and recommended values of empirical constants governing radiator efficiency loss due to Martian dust accumulation
The radiative environments in both lunar and Mars locations make thermal management more challenging. The lunar surface is exposed to direct solar radiation (about 1367 W/m²) and deep space at 2.7 K, due to the lack of atmosphere. This generates a situation in which sun-facing surfaces can become extremely hot, while surfaces facing away from the sun dissipate heat into space. Mars, despite its atmosphere, still faces significant radiative heat transfer challenges, with solar radiation varying between 492 and 715 W/m² depending on the planet’s orbital position. Additionally, atmospheric dust loading can reduce surface irradiance by up to 99% during major dust storms.
Enjoying this article?
Subscribe to Electronics Cooling for practical, engineer-focused insight on today’s thermal management challenges—plus immediate access to new digital magazine issues.
Subscribe here →
Electronic Component Thermal Challenges
Electronic components in spacecraft systems confront thermal issues that go beyond normal temperature control. Wide temperature differences cause thermomechanical strains in printed circuit boards, solder connections, and semiconductor packages, which can lead to fatigue failure after multiple heat cycles [1]. The junction temperature (Tj) of semiconductor devices can be determined using the thermal resistance network:
where Ta is the ambient temperature, Pd denotes power dissipation, Rjc is the junction-to-case resistance, Rcs the case-to-spreader resistance, and Rsa the spreader-to-ambient thermal resistance. This expression applies to a single heat-generating device; multi-device systems require a summed or parallel thermal resistance network.
Silicon-based semiconductors exhibit large changes in electrical properties over these temperature ranges, with carrier mobility ranging by 10 or more between -173°C and 127°C. The temperature- dependent carrier mobility is as follows:
The reference mobility at temperature T₀ is represented by μ₀, and the doping concentration affects n, which varies from 1.5 to 2.5. This fluctuation impacts both the performance and power dissipation characteristics of electronic devices, resulting in a complex feedback loop in thermal management systems [6].
Power electronics, particularly those used in power conversion and motor control applications, produce waste heat that must be removed. The absence of convective heat transfer in space or the near-vacuum of the lunar surface requires all heat to be carried to radiator surfaces and subsequently radiated into space. This causes thermal bottlenecks at the interfaces between components and heat sinks, where thermal interface materials must maintain low thermal resistance over a wide temperature range while surviving thousands of thermal cycles without degradation.
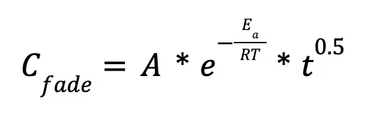
Battery systems pose especially difficult thermal management problems in these situations. Lithium-ion batteries, the most common energy storage option for spacecraft, significantly lose capacity at low temperatures and degrade rapidly at high temperatures [7]. The capacity degradation (Cfade) follows an Arrhenius equation:
where A is the pre-exponential factor, Ea is the activation energy (usually 20-40 kJ/mol), R is the gas constant, and t is the duration [7]. At -173°C, lithium-ion batteries effectively cease to work, whereas temperatures above 60°C can cause thermal runaway when:
which can lead to the temperature accelerating. This form of the first-law expression is used to illustrate the condition under which generated heat exceeds dissipated heat, triggering thermal runaway, and needs sophisticated thermal control systems that can keep batteries within a tight temperature range despite external temperature changes of over 300°C [7].

Advanced Thermal Control Technologies
The invention of variable emittance radiators marks a significant step forward in spacecraft thermal control technology, with direct applicability to terrestrial electronics cooling [8]. These devices can adjust their infrared emittance in response to temperature changes, thereby forming a passive thermal control system that adapts to changing thermal loads. The radiative heat transfer for these devices is determined by:
The emittance ε(T) fluctuates with temperature using a sigmoid function. Electrochromic coatings (see Figure 4), which change their optical properties in reaction to applied voltage, allow for active control of radiator performance. These coatings’ emittance can range from 0.1 to 0.9, resulting in a ninefold increase in radiative heat transfer capabilities [9]. This approach has the potential to enable adaptive cooling systems in electronic thermal management applications that can adjust to changing thermal loads without requiring complex mechanical design.

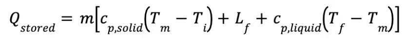
Phase change materials (PCMs) are critical components in spacecraft thermal management systems, particularly for lunar night survival. PCMs were demonstrated in the Apollo program; modern advancements primarily involve CNT-enhanced conductivity and radiation-resistant formulations. Energy storage in PCMs is determined as follows:
where, Lf represents the latent heat of fusion, m is the mass of PCM, Tm denotes the melting temperature, Ti represents the initial temperature of PCM before heating, Tf is the final temperature after heating and cp is the specific heat capacity of the PCM. Paraffin waxes, salt hydrates, and metallic alloys can store thermal energy during heating and then release it during cooling [10]. When selecting PCMs for spacecraft applications, it is critical to consider phase change temperature, latent heat capacity, thermal conductivity, and long-term stability under radiation exposure. Advanced PCM systems employ thermal conductivity enhancers such as carbon nanotubes or metallic foams to overcome the naturally low thermal conductivity of most phase change materials [11]. The effective thermal conductivity of improved PCMs can be calculated using:
where φ is the volume percentage of carbon nanotubes. Enhanced PCM systems can reach thermal conductivities up to 50 W/mK and latent heat storage capacities beyond 200 kJ/kg [11].
Loop heat pipes and vapor chambers have been used in spacecraft applications, providing high-efficiency heat transport without moving parts or external power [12]. These devices circulate working fluids via capillary action in sintered metal wicks, attaining effective thermal conductivities above 10,000 W/mK.
For lunar applications, variable conductance heat pipes have been designed to automatically vary their thermal conductance dependent on temperature, enabling thermal isolation during cold periods and improved heat flow during warm periods [12]. The working fluids for these devices must be carefully chosen to be functional across the whole operational temperature range, with ammonia, propylene, and specialty fluorocarbons being popular candidates for different temperature regimes.
Radioisotope heater units (RHUs) offer a novel method for maintaining minimum temperatures throughout long periods of cold, such as lunar night. These passive devices dissipate power via radioactive decay, often using plutonium-238, and produce consistent heat output regardless of ambient conditions. While not directly relevant to terrestrial electronics, the integration methodologies established for RHUs influenced the design of distributed heating systems for electronics in extreme cold settings. Thermal integration of RHUs necessitates complex modeling to achieve uniform temperature distribution while limiting local overheating; the same techniques are directly applicable to the integration of discrete heat sources in electronic systems. Although RHUs produce relatively low radiation levels, the alpha and minor gamma emissions from Pu-238 can pose reliability risks to nearby semiconductor electronics through cumulative ionizing radiation effects. As a result, spacecraft designers typically incorporate shielding, spatial separation, and radiation-hardened components to prevent device degradation. These integration practices parallel those used in terrestrial systems where localized heating elements must be placed carefully to avoid unintended thermal or electromagnetic interference.
Material Innovations and Surface Treatments
White thermal control paints with solar absorptance (α) values below 0.1 and infrared emittance (ε) above 0.9 enable efficient heat rejection while minimizing solar heat gain. The equilibrium temperature of a surface in space is:
These coatings must retain their properties while exposed to atomic oxygen, UV light, and micrometeorite impacts. Recent advances in metamaterial coatings have produced surfaces with specialized spectral properties that selectively emit or absorb light in certain wavelength bands, allowing for more accurate heat control.
Dust mitigation methods for Martian applications have yielded novel surface treatments that inhibit particle adherence while retaining thermal performance. Electrostatic and electrodynamic dust shields use electric fields to reject or remove dust particles. The dielectrophoretic force, FDEP, acting upon particles is:
where r is the particle radius, ϵm is the medium permittivity, and K(ω) is the Clausius-Mossotti coefficient. These devices consume little power and may keep surfaces clean without mechanical interference. Lotus-effect coatings, inspired by superhydrophobic biological surfaces, have been used to generate dust-phobic surfaces that reduce particle adherence via nanoscale surface texturing. These solutions are directly applicable to maintaining the efficiency of heat sinks and radiators in dusty industrial environments.
Advanced thermal interface materials designed for spacecraft applications must maintain thermal performance above temperatures that would damage traditional materials [13]. Carbon nanotube arrays, graphene-enhanced composites, and liquid metal thermal interfaces (see Figure 5) have been designed to achieve thermal conductance above 100 MW/m²K [14], while supporting differential thermal expansion between components. These materials must also withstand hundreds of temperature cycles without deterioration, necessitating complex fatigue-resistant designs that maintain close thermal contact despite repeated expansion and contraction [15].

System Integration and Practical Implementation
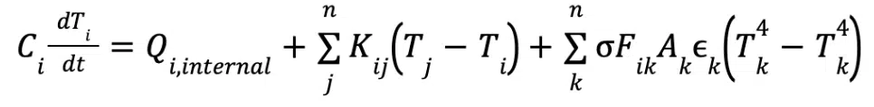
The integration of thermal management systems in spacecraft, such as that shown in Figure 6, must consider thermal interactions between all subsystems. Thermal mathematical models with millions of nodes are used to predict temperature distributions and evaluate thermal management systems prior to implementation. The system-level thermal model uses a nodal network to solve:
where Ci is node i’s thermal capacitance, Kij is the conductance between nodes i and j, and Fik is the view factor for radiation exchange. These models must account for orbital dynamics, surface characteristics, internal heat generation, and the radiative exchange between surfaces. Thermal vacuum testing has validated these models, establishing approaches for forecasting thermal performance in settings that cannot be fully replicable on Earth [3].

Thermal control systems must be redundant and fault-tolerant to ensure mission success. Multiple thermal control routes ensure that the failure of a single component does not lead to mission loss. This technique has influenced the development of robust thermal management systems for critical electronic applications in which failure is not an option. The use of dissimilar redundancy, which involves separate thermal control methods providing backup capability, ensures that common-mode failures do not jeopardize system integrity.
The mass and power limits of spacecraft missions have prompted the development of highly optimized thermal control systems that meet performance requirements with minimal resources. The optimization includes multi-objective functions, with weighting factors, ωi, that are specific to the system requirements:
subject to temperature, mass, and power limitations. Multi-functional structures that integrate structural support and thermal management capabilities lower total system mass while increasing thermal performance. These integrated designs have applications in portable electronics and electric car battery systems, where mass and volume constraints are also important [17].
Conclusion
The harsh thermal conditions of lunar night and Martian dust storms prompted the development of novel thermal control technologies that go beyond typical electrical cooling methods. Advancements in variable emittance surfaces, phase change materials, sophisticated heat pipes, and specialized coatings present a diverse set of technologies suitable to terrestrial electronic thermal management concerns. System-level integration tactics, redundancy approaches, and optimization methodologies developed for spacecraft thermal control serve as useful frameworks for developing robust thermal management systems for important electronic applications.
As electronic systems continue to push the limits of power density and operational settings, the lessons acquired from spacecraft thermal control in harsh environments will become more relevant to the advancement of electronic thermal management. The continuing investigation of space and terrestrial temperature control technology promises to provide improvements that benefit both domains, eventually allowing electronic systems to operate reliably in any environment, whether on Earth or elsewhere.
References
[1] Park, T.Y., Lee, J.J., Kim, J.H., Preliminary thermal design and analysis of lunar lander for night survival. Journal of Aerospace Engineering, 2018.
[2] Hengeveld, D.W., Braun, J.E., Groll, E.A., Williams, A.D., Review of Modern Spacecraft Thermal Control Technologies and Their Application to Next-Generation Buildings 2010.
[3] Swanson, T.D., Birur, G.C., NASA thermal control technologies for robotic spacecraft. Appl Therm Eng., 2003;23:1055–65
[4] Yu, W., Zeng, X., Li, X., Wei, G., Fang, J., New Martian Dust Simulant JMDS-1 and Applications to Laboratory Thermal Conductivity Measurements. Earth and Space Science 2022;9:e2020EA001347.
[5] Gaier, J.R. The effects of lunar dust on EVA systems during the Apollo missions. No. NASA/TM-2005-213610/REV1. 2007.
[6] Gilmore, D.G. Spacecraft thermal control handbook: cryogenics. 2002.
[7] Biswas, J., Malzone, P.Q., Rößler, F., Energy storage selection and operation for night-time survival of small lunar surface systems. Acta Astronaut, 2021;185:308–18.
[8] Kim, H., Cheung, K., Auyeung, R.C., Wilson, D.E., Charipar, K.M., Piqué, A. et al. VO2-based switchable radiator for spacecraft thermal control. Scientific Reports, 2019;9:1–8.
[9] Demiryont, H., Moorehead, D., Electrochromic emissivity modulator for spacecraft thermal management. Solar Energy Materials and Solar Cells 2009;93:2075–8.
[10] Kim, T., Hyun, B., Lee, J. Numerical study of the spacecraft thermal control hardware combining solid–liquid phase change material and a heat pipe. Aerospace Science and Technology, 2013
[11] Ong, P.J., Shuko, Lee H.Y., Wang, S., Thitsartarn, W., Zhang, X., Kong, J. et al. Recent advances in enhanced thermal property in phase change materials using carbon nanotubes: A review. Solar Energy Materials and Solar Cells 2025;279:113228.
[12] Chen, X., Ye, H., Fan, X., Ren, T., Zhang, G., A review of small heat pipes for electronics. Appl Therm Eng 2016;96:1–17.
[13] Tachikawa, S., Nagano, H., Ohnishi, A., Nagasaka, Y. Advanced Passive Thermal Control Materials and Devices for Spacecraft: A Review. Int J Thermophys 2022;43:1–37.
[14] Mu F, Cheng Z, Shi J, Shin S, Xu B, Shiomi J, Graham S, Suga T. High thermal boundary conductance across bonded heterogeneous GaN–SiC interfaces. ACS applied materials & interfaces. 2019 Aug 13;11(36):33428-34.
[15] Baturkin, V. Micro-satellites thermal control—concepts and components. Acta Astronaut 2005;56:161–70.
[16] Bhandari, P., Birur, G., Karlmann, P., Bame, D., Liu, Y., Mastropietro, A.J., Miller, J., Pauken, M., Ganapathi, G., Krylo, R. and Kinter, B., 2009. Mars science laboratory mechanically pumped fluid loop for thermal control-design, implementation, and testing. SAE International Journal of Aerospace, 4(2009-01-2437), pp.299-310.
[17] Danzi, F., Salgado, R.M., Oliveira, J.E., Arteiro, A., Camanho, P.P. and Braga, M.H., 2021. Structural batteries: A review. Molecules, 26(8), p.2203.




















